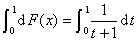
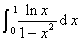
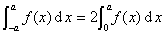
[定积分的性质]
![]()
![]()
![]()
[分部积分法]
![]()
式中![]()
[变量替换法]
设函数
在区间[
]上有连续的导数
,同时函数
在区间
上连续,并且
从
单调地变到
,则
![]()
[利用函数奇偶性求积法]
若
为偶函数,则![]()
若
为奇函数,则![]()
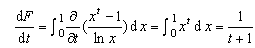
[利用积分对参数求导法] 设f(x,t)在有界区域
上连续,并且存在连续偏导数
,则当
时,有
![]()
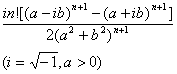
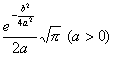
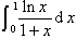
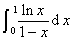
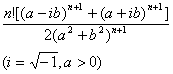
例 计算积分![]()
解 设![]()
则
.因
![]()
![]()
所以︳
.
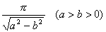
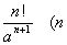
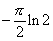
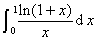
[定积分表]
|
定 积 分 |
定 积 分 值 |
|
|
|
|
|
|
|
|
|
|
定 积 分 |
定 积 分 值 |
|
|
|
|
|
|
|
|
|
|
|
|
|
|
|
|
|
|
|
|
|
|
|
|
|
|
|
|
|
|
|
|
|
|
|
|
|
|
|
|
|
|
|
|
|
|
|
|
|
定 积 分 |
定 积 分 值 |
|
|
|
|
|
|
|
|
|
|
|
|
|
|
|
|
|
|
|
|
|
|
|
|
|
|
|
|
|
|
|
|
|
|
|
|
|
|
|
|
|
|
|
|
|
|
|
|
|
|
|
|
|
|
|
|
|
|
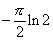
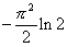
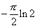
定 积 分 |
定 积 分 值 |
|
|
|
|
|
|
|
|
|
|
|
|
|
|
|
|
|
|
|
|
|
|
|
|
|
|
|
|
|
|
|
|
|
|
|
|
|
|
|
|
|
|
|
|
|
|
|
|
|
|
|
|
|
|
|
|
|
|
|
|
|
定 积 分 |
定 积 分 值 |
|
|
|
|
|
|
|
|
|
|
|
|
|
|
|
|
|
|
|
|
|
|
|
|
|
|
|
|
|
|
|
|
|
|
|
|
|
|
|
|
|
|