四、牛顿法
1.一般牛顿法
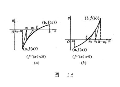
设f(x)在[a,b]上连续,也连续,且¹0,¹0,f(a)f(b)<0(设f(a)<0,f(b)>0),过点(a,f(a))(或点(b,f(b)))作曲线的切线:
(或)
它和x轴的交点为x=a-(或x=b-)
用迭代公式
xn+1=xn-
并取初始值
x0=
可计算出方程f(x)=0的根的近似值(图3.5).误差ïx-xnï不超过
一般选取的初始值x0,要满足不等式