二、醌的化学性质《医用化学》

二、醌的化学性质

从醌的构造来看。其分子中既有羰基,又有碳碳双键和共轭双键,因此可以发生羰基加成、碳碳双键加成以及共轭双键的1,4-加成。

(一)羰基的加成

苯醌同醛、酮一样,可与羰基试剂发生加成反应。如以苯醌与羟胺反应,先生成对苯醌一肟,再生成对苯醌二肟。

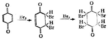
(二)碳碳双键的加成

对苯醌和溴发生加成反应,可生成二溴化物或四溴 化物。

(三)共轭双键的1,4-加成

醌分子中含有共轭双键,可发生1,4-加成。如维生素K3与亚硫酸氢钠的加成。

上一页:一、醌的构造和命名
当前页:二、醌的化学性质
下一页:三、重要的醌类化合物