二、多元酸碱在溶液中的离解《医用化学》

二、多元酸碱在溶液中的离解

多元酸碱在溶液中的离解是分步进行的,叫做分步离解。表2-2列出了一些常见的多元酸的分步离解常数。表中pKa为Ka的负对数值。

表2-2 一些常见的多元酸的分步离解常数

名称分子式Ka1PKa1Ka2PKa2Ka3PKa3

 

酸性强度增加草酸H2C2O45.4×10-21.275.4×10-54.27

2.2×10-13

12.67

亚硫酸H2SO31.54×10-21.811.02×10-76.91 
磷酸H3PO47.52×10-32.126.23×10-87.21 
丙二酸CH2(COOH)21.38×10-32.862×10-65.70 
邻苯二甲酸C6H4(COOH)21.12×10-32.953.9×10-55.41 
酒石酸(CHOHCOOH)29.1×10-43.044.3×10-54.37 
碳酸H2CO34.30×10-76.375.61×10-1110.25 
氢硫酸H2S9.1×10-87.041.1×10-1211.96 

例如草酸(H2C2O4)的离解分两步进行。

一级离解

二级离解

二级离解总比一级离解困难,因为H+要克服带有两个电荷的C2O2-4对它的吸引。从Ka1和Ka2可以反映这一点。草酸溶液中的HC2O-4浓度要比C2O2-4浓度大得多。

磷酸的离解要分三步,有Ka1、Ka2、和Ka3三个离解常数,且Ka1》Ka2》Ka3这说明多元酸分级离解是依次变难。

根据多元酸的浓度和各级离解常数,可以算出溶液中各种离子的浓度。

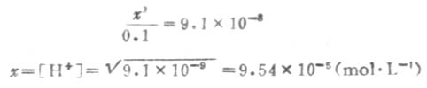
例2 计算0.1mol·L-1H2S溶液中的H+和S2-的浓度。

解:由于H2S的 Ka1》Ka2 ,所以H2S溶液中的H+主要来自第一步离解,而第一步离解所产生的H+,又抑制第二步离解。这样计算H2S溶液中H+的总浓度时,可以忽略第二步离解的H+,近似地等于第一步离解平衡时H+浓度。

设第一步离解平衡时[H+]=x,则[H+]≈[HS-],平衡时则有下列关系:

由表2-2知H2S的Ka为9.1×10-8,则

因Ka1很小,x必然很小,所以0.1-x≈0.1,则

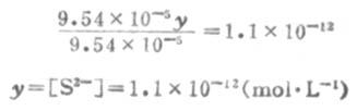
溶液中的S2-是第二步离解的产生,因此,计算溶液中的S2-浓度时,应根据第二步离解平衡进行计算.

设第二步离解时,[S2-]=y,平衡时有下列关系:

因为Ka1极小,y必然极小,所以9.54×10-5±y≈9.54×10-5,则

所以,[S2-]≈Ka2。

上一页:一、一元弱酸弱碱的离解平衡
当前页:二、多元酸碱在溶液中的离解
下一页:三、强电解质在溶液中的离解