(一)直接法《预防医学》

(一)直接法

当n较小时,可直接由原始数据求中位数。先将观察值由小到大按顺序排列,再按公式(18.6)或公式(18.7)计算。

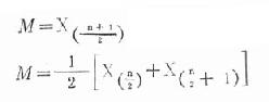
公式(18.6)

(n为偶数时)  公式(18.7)

式中,n 为观察值的总个数,X的右下标(n+1/2)、(n/2)、和(n/2+1)为有序数列中观察值的位次,X(n+1/2)、X(n/2)和X(n/2+1)为相应位次上的观察值。

例18.5 某病患者9名,其发病的潜伏期顺序为2,3,3,3,4,5,6,9,16天,求中位数。

本例n=9,为奇数,按公式(18.6)计算

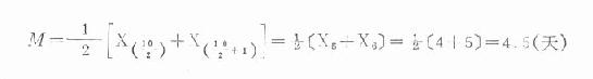
若上例在第20天又发现一例患者,则患者数增为10名,n为偶数,按公式(18.7)计算

上一页:三、中位数(median)
当前页:(一)直接法
下一页:(二)频数表法

返回目录