二、不成对资料(两组或多组)的比较《医学统计学》

二、不成对资料(两组或多组)的比较

现以例10.2说明其计算步骤如下:

1.各自排列,统一编秩号。将两组数据分别从小到大排列,然后按两组数据自小至大统一给以顺序号,即为秩号。编秩号时,凡数据相等而分属于两组的,应编平均秩号,如0.042共有三个,分属于两组,其秩号应该是7、8、9,求其平均,皆给以平均秩号8。

2.求秩号的中位数MR,公式是:

(10.2)

3.求各组n+、n-、n0:以MR为准,大于MR的秩号个数为n+,小于MR的秩号个数为n-,相等者为n。

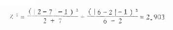
4.代入下式求χ2

ν=组数-1 (10.3)

5.查χ2值表,作结论。

例10.2 表10.2为9名健康人和8名铅作业工人的尿铅值(mg/L)试比较两组间有无显著差别?

表10.2 9名健康人与8名铅作业工人的尿铅值(mg/L)

健康人秩号铅作业工人秩号
0.00110.0428
0.00220.0428
0.01430.04810
0.02040.05011
0.03250.08214
0.03260.08615
0.04280.09216
0.054120.09817
0.06413  

两组各自排队,统一编秩号,其结果见表10.2

以此数为准,数得两组秩号的n+、n-、n0

下:

 n+n-n0
健康人数270
铅作业工人组620

代入公式

ν=2-1=1,χ20.05,1=3.841

今χ220.05,1故P>0.05 不能拒绝检验假设,相差不显著,还不能说健康人与铅作业工人尿铅值有显著差别。

当多组资料比较时,其步骤与两组比较的一致,但计算χ2值的公式略有不同:

(10.4)

符号检验未充分利用原始资料中的全部信息,故比较粗,但因其简便,可迅速得到结果故也有其使用价值。

上一页:一、成对资料的比较
当前页:二、不成对资料(两组或多组)的比较
下一页:第三节 秩和检验