4.椭圆各量计算公式

 

 

椭圆各量

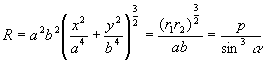
[曲率半径]

R

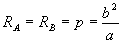
式中r1, r2为焦点半径, p为焦点参数, a 为点M(x, y)的焦点半径与切线的夹角.特别, 顶点的曲率半径

,

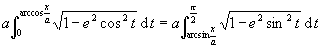
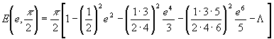
[弧长]

=

式中e为离心率

[周长]

L

式中,

,

[面积]

S

扇形(OAM)面积

弓形(MAN)面积

S = p ab

[几何重心]

G

GO重合

半椭圆形

(a, b为椭圆的半轴长)

[转动惯量] J

椭圆的转轴通过b

式中m为质量