§4 空间中的直线与平面
|
名 称 与 说 明 |
图 形 |
|
[方向角] 通过原点O的直线OM与三条坐标轴的夹角a , b , g 称为该直线的方向角(OM的方向为离开原点O的方向): [方向余弦] 直线的方向角的余弦称为方向余弦: 式中 |
|
|
[方向数] 通过原点且平行于直线L的直线OM上任意一点W的坐标(p, q, r)称为直线L的方向数,而
|
|
|
名 称 与 说 明 |
图 形 |
|
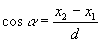
[过两点的直线的方向余弦]
式中 这时直线的正向为M1(x1, y1, z1)到M2(x2, y2, z2)的方向.
|
|